Hey,
I’m trying some fancier LaTeX math stuff in TeXmacs and can’t get the following to work:
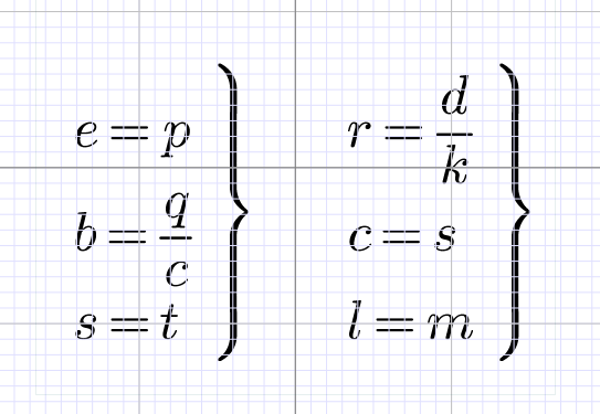
A bracket around an eqnarray environment. This is how it could look like in LaTeX

The example comes from here: https://nmfs-opensci.github.io/quarto-amsmath/fancy_equations.html
I’ve tried to join a whole column in an “eqnarray” but TeXmacs refuses to do this (probably for good reason). It’s possible in a “table” but then I can’t get the curly bracket to span a whole column.
I appreciate your help.
Best,
Heiner

